복소수 (Complex numbers)
3가지 형태가 있음
- 직각좌표형 (rectangular form)
x는 real part, y는 imaginary part
j는 복소수, 해당 공식이 성립함


- 극좌표형 (polar form)


복소수 z는 위처럼 다양하게 나타낼수있음(rectangular form = polar form = Euler)
- 복소지수형 (exponential form)
r하고 θ를 쓴다는 점에서 극좌표형과 비슷

complex conjugate
z = x +jy 일때의 complex conjugate

=> j가 - j로 바뀐 것
복소수의 사칙연산
덧셈, 뺄셈은 rectangular form이 편함
곱셈, 나눗셈(몫)은 polar와 exponential form이 편함
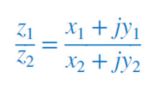
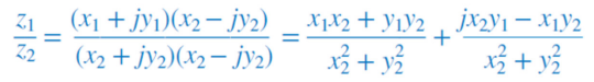
polar form / rectangular form


아래의 rectangular form에 z2* (complex conjugate)인 x2 - jy2를 곱해서 통분한다


Sinusoids and phasors (정현파와 페이저)
정현파(sinusoid)는 사인과 코사인 함수로 이루어진 신호(전류나 전압을 의미함)



삼각함수 공식

sin <-> cos 변환은 아래 그래프를 그리면 편하게 할수있다
=> 적당히 phase가 +=90도가 안 넘게 정리하자

Phasor(페이저)
phasor는 amplitude(진폭)과 sinusoid의 phase를 나타내는 복소수

위 식에서 ⲫ 헷갈리지말자
=> V는 페이저, 페이저는 시간 의존성이 사라진 sinusoid와 수학적 동치를 이룸
=> 주파수(frequency)가 일정한 경우에만 사용가능. 두개 이상의 sinusoids에 페이저를 적용할때는 동일한 주파수일때만 사용가능
페이저의 미분(differentiation)과 적분(integration)

정현파의 미분은 페이저와 jw의 곱과 같음

정현파의 적분은 페이저/jw 와 같음
Phasor와 회로의 상관관계
페이저를 사용하면 회로의 전압, 전류를 다루기 굉장히 간단해짐
=> current-voltage relationship from time <=> frequency domain (시간의존성이 사라짐)
1. 저항


2. 인덕터


인덕터는 phase가 90도가 넘어감(out of phase) 따라서 전류(I)가 전압(V)에 비해 90도만큼 지연됨
3. 캐피시터


캐피시터도 phase가 90도가 넘어가서 전압(V)이 전류(I)에 비해 90도만큼 지연됨 (인덕터와 반대)
Impedance and adminttance
페이저 전압과 페이저 전류의 비를 사용하여 기존 전압-전류 관계를 표현

페이저 형태의 옴의 법칙을 얻을수있다.
impedance는 페이저 전압과 전류의 비 => 복소수형태의 저항이라고 생각하면 됨, 단위는 옴
: 회로에서 정현파 전류의 흐름에 반하는 양, 2개의 페이저 비로 주어지지만 값이 정현적으로 변화 x, 페이저x

adminttance는 임피던스의 역수, 단위는 지멘스(S) => adminttance, conductance, susceptance 다 지멘스 사용

인덕터와 캐피시터의 회로 관계

KVL

KCL

=> 페이저와 주파수 도메인에서도 사용 가능
직렬일때 임피던스

=> 그냥 저항처럼 사용하면 됨
병렬일때 임피던스

=> 얘도 똑같음
'회로이론' 카테고리의 다른 글
| 회로이론2 1주차 Sinusoidal Steady-State Analysis (0) | 2023.09.18 |
|---|